研加考研:2025浙江大学新一代电子信息技术考研参考书及考情
一、学院专业介绍浙江大学信电学院设有信息与通信工程系、电子工程系。建有浙江省信息处理与通信网络重点实验室、浙江省先进微纳...
04-26 798人看过
一、学院专业介绍浙江大学信电学院设有信息与通信工程系、电子工程系。建有浙江省信息处理与通信网络重点实验室、浙江省先进微纳...
一、学院专业介绍浙江大学信电学院设有信息与通信工程系、电子工程系。建有浙江省信息处理与通信网络重点实验室、浙江省先进微纳...
一、学院专业介绍浙江大学软件学院成立于2001年2月,先后获批成为首批国家示范性软件学院、首批国家特色化示范性软件学院。...
一、学院介绍管理学院目前设有8个系、29个跨学科研究机构。学院现有一级学科博士点5个,二级学科博士点13个(含自设博士点...
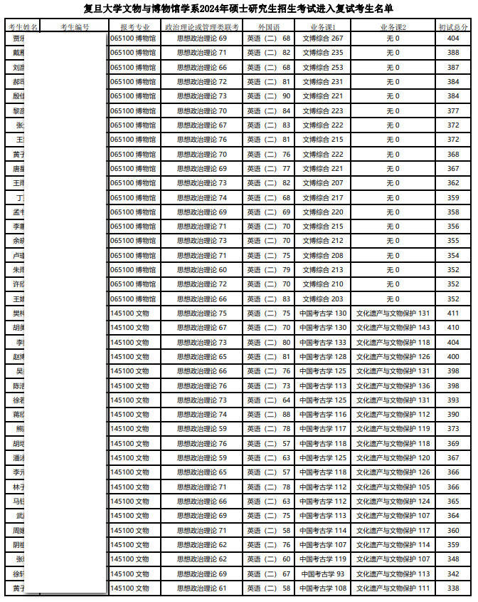
一、学院介绍文物与博物馆学系,简称文博系,是国内创办时间最长、影响最大的文博教学与科研的高教机构之一,是教育部和国务院学...
一、学院介绍文物与博物馆学系,简称文博系,是国内创办时间最长、影响最大的文博教学与科研的高教机构之一,是教育部和国务院学...