
说明:
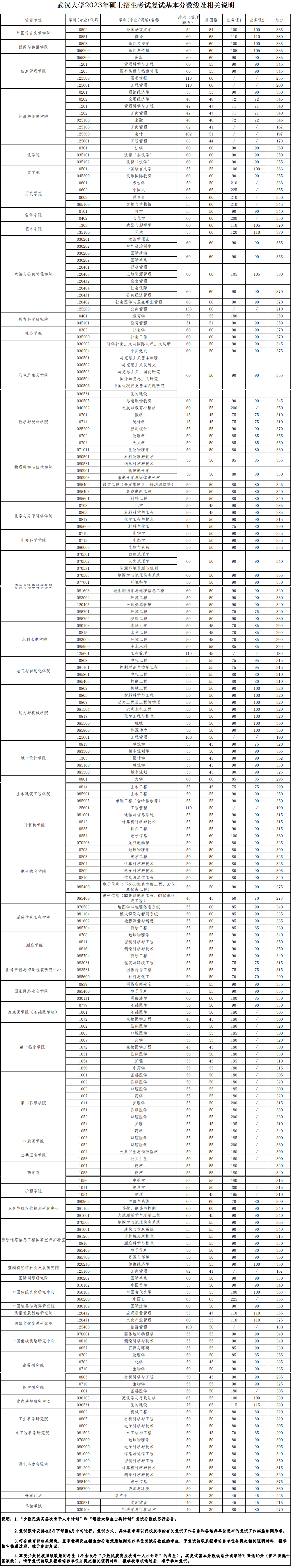
1、学校复试基本分数线是我校制定的最低复试分数要求,各院系在此基础上根据招生计划、生源的实际情况确定本单位各学科专业进入复试的初试成绩要求(本网站后续另行公布)及其他学术要求。复试名单将于近日陆续公布在各招生院系网站。
2、地球和空间科学学院、火灾科学国家重点实验室的资源与环境类别(0857),由有关院系按照不低于工程类专业学位硕士A类国家线另行制定。
3、科教融合学院复试专业分数线可根据实情另行申请划定,但不得低于相应专业的A类国家线。
4、退役大学生士兵专项计划复试分数线由相关院系根据国家政策及生源情况另行确定,但总分最多比报考院系同专业方向的普通考生复试分数线下调10分。
5、强军计划复试分数线为相应学科A类国家线(含单科线)。
6、“大学生志愿服务西部计划”、“选聘高校毕业生到村任职”、“三支一扶计划”和退役大学生士兵(按退役大学生士兵专项计划报考的除外)等享受政策加分的考生须本人在3月21日前向报考院系提出书面申请,同时出具相关证明材料。
7、我校今年的复试相关工作将在教育部、安徽省教育招生考试院的指导下妥善安排进行,请考生关注本官方网站,近期将公布复试时间、形式和其他要求。待学校确定、公布后,各招生院系的复试内容、形式、日程安排,以及复试资格优惠等相关规定可访问各院系网页查看有关公告或向各院系招生联系人咨询https://yz1.ustc.edu.cn/sszs_2023/cksm4.html。
中国科学技术大学研究生院招生办公室
2023年3月14日