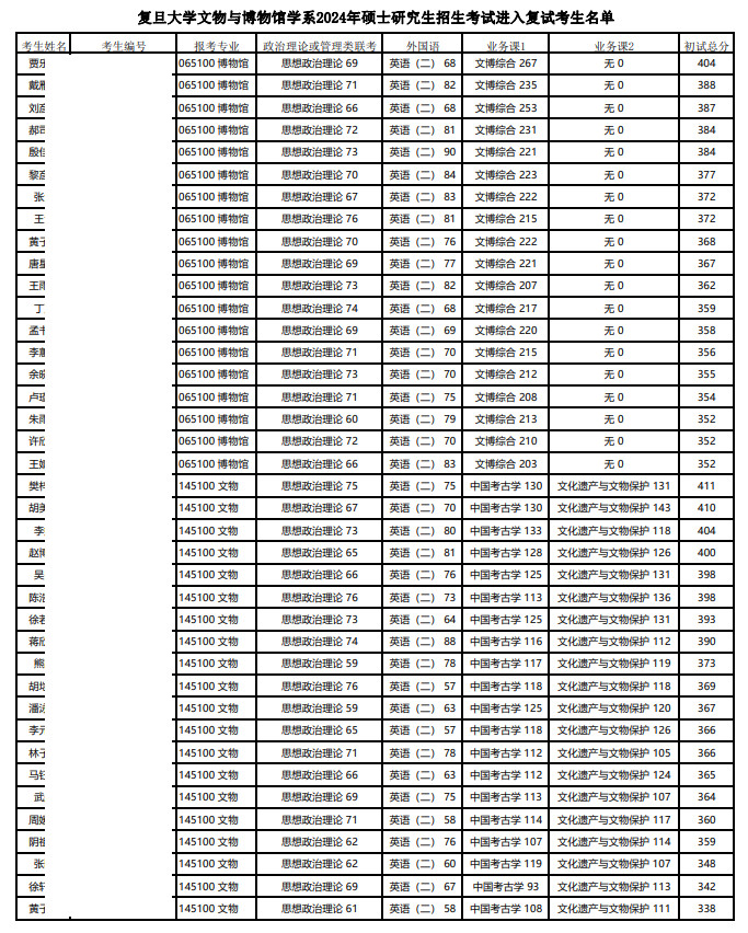
为做好2024年硕士研究生招生复试工作,根据教育部和学校有关文件精神,结合院系实际情况,制定本细则。一、确定复试名单学院...
为做好2024年硕士研究生招生复试工作,根据教育部和学校有关文件精神,结合院系实际情况,制定本细则。一、确定复试名单专业...