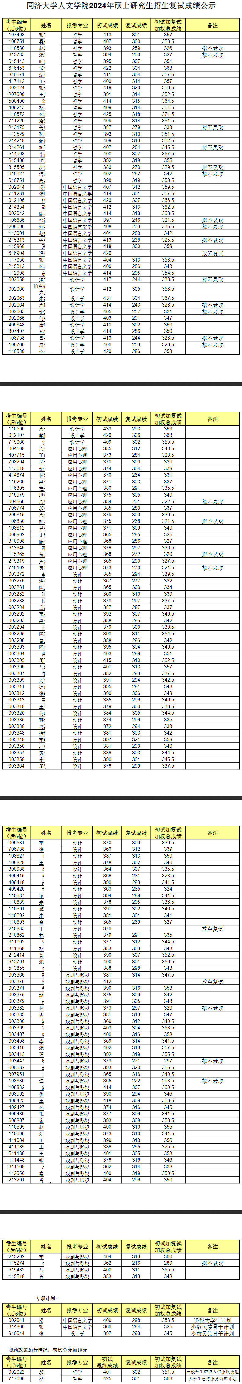
研加考研:2025年同济大学人文学院设计学考研参考书、历年分
一、学院介绍人文学院现有3个本科专业(哲学、汉语言文学、文化产业管理);3个硕士一级学科学位点(哲学、中国语言文学、艺术...
05-31 737人看过
一、学院介绍人文学院现有3个本科专业(哲学、汉语言文学、文化产业管理);3个硕士一级学科学位点(哲学、中国语言文学、艺术...
一、学院介绍艺术与传媒学院设有传播系、音乐与表演系。本科开设广播电视学、广告学、广播电视编导、动画、表演、音乐表演6个专...
一、学院介绍艺术与传媒学院设有传播系、音乐与表演系。本科开设广播电视学、广告学、广播电视编导、动画、表演、音乐表演6个专...
一、学院介绍艺术与传媒学院设有传播系、音乐与表演系。本科开设广播电视学、广告学、广播电视编导、动画、表演、音乐表演6个专...
一、学院介绍生命科学与技术学院现设三个系:生物医药与技术系、分子与细胞生物学系、生物信息学系;一个研究所:蛋白质研究所;...
一、学院介绍铁道与城市轨道交通研究院主要从事干线铁路、地铁与城市轨道交通装备技术领域的教学和科研工作,目前研究院下设6个...